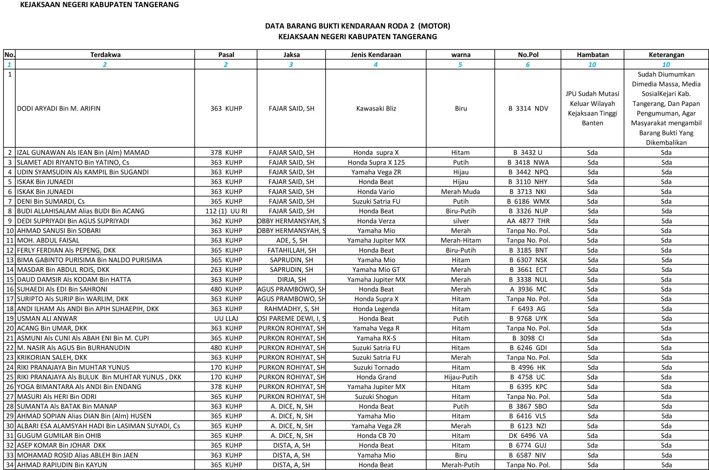
Kejari Kabupaten Tangerang Umumkan Barang Bukti Roda 2 Yang Belum Diambil
Kejari Kabupaten Tangerangdetakbanten.com TANGERANG - Kejari Kabupaten Tangerang dengan ini mengumumkan Barang bukti Kendaraan Roda 2 Yang Belum Diambil Pemilik/yang berhak.
Bagi masyarakat yang merasa memiliki kendaraan roda 2 yang menjadi barang bukti di Kejaksaan Negeri Kabupaten Tangerang diharap segera mengambil barang bukti roda 2 di Kejaksaan Negeri Kabupaten Tangerang dengan membawa identitas diri (KTP/SIM) dan bukti kepemilikan kendaraan bermotor (STNK/BPKB)
Berikut daftar Barang Bukti Kendaraan Roda Dua (Motor) di Kejaksaan Negeri Kabupaten Tangerang tahun 2016 - 2017 yang dikembalkan namun tidak diambil:


Published in: Kabupaten Tangerang

























